Il calettamento forzato di un mozzo su un albero costituisce l’esempio più tipico di accoppiamento di forza, cioè nel quale la trasmissione della coppia tra i due elementi avviene grazie all’azione tangenziale dovuta all’attrito tra le superfici a contatto, opportunamente premute l’una contro l’altra da un’azione normale. Nel caso del forzamento, quest’ultima è rappresentata dalla pressione che si instaura a causa dell’interferenza sul diametro, cioè calettando il mozzo su albero di diametro maggiore il cui valore può variare all’interno di un campo di tolleranza, determinato in sede di progettazione mediante la scelta opportuna dell’accoppiamento (figura 1).

Si descrive il procedimento di calcolo del forzamento nelle seguenti ipotesi e semplificazioni:
- si semplifica la geometria del mozzo schematizzandolo come un cilindro cavo e trascurando l’eventuale contributo di altre parti del corpo quali cartella, razze, etc.;
- si considera il caso di albero pieno;
- si trascurano effetti secondari quali dilatazioni assiali impedite o parzialmente impedite;
- si ipotizza che la pressione dovuta al forzamento sia distribuita in modo uniforme, cioè si trascurano gli effetti di bordo dovuti alla lunghezza finita in direzione assiale degli elementi collegati.
Il calcolo prevede i seguenti passi in sequenza:
- determinazione della pressione minima necessaria;
- determinazione dell’interferenza minima necessaria all’ottenimento della pressione;
- determinazione dell’interferenza massima compatibile con la verifica di resistenza dell’albero e del mozzo.
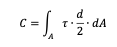
Il primo passo del processo di progettazione consiste quindi nella determinazione della pressione necessaria alla trasmissione della coppia desiderata: l’equilibrio alla rotazione dell’albero sottoposto all’azione di quest’ultima e al momento risultante dall’integrale sulla superficie di contatto degli sforzi tangenziali generati dall’attrito al limite dello slittamento, consente di calcolare la pressione richiesta:

Avendo indicato con A l’area di accoppiamento, con d il diametro e con C la coppia, da intendersi come il massimo valore da trasmettere, ad esempio in condizioni di spunto.
Lo sforzo tangenziale t è legato alla pressione p tramite la relazione di Coulomb, nella quale f rappresenta il coefficiente di attrito:

Al limite dello slittamento la relazione varrà con il segno di uguaglianza: ipotizzando che la pressione sia la stessa sull’intera superficie, come già anticipato, e che la condizione limite si raggiunga contemporaneamente in ogni punto, svolgendo l’integrale si può scrivere:

Nella quale l indica la lunghezza in direzione assiale della superficie di contatto. Risolvendo rispetto alla pressione si ottiene:

Nell’accoppiamento di forza, la pressione è presente anche quando la coppia non viene trasmessa e pertanto tale tipo di accoppiamento non è compatibile con l’esigenza di scorrimento assiale tra i due elementi, sia sotto carico che in assenza di esso.
Calcolo dell’interferenza minima
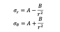
Il legame tra la pressione e l’interferenza si determina utilizzando i risultati della trattazione del problema elastico assialsimmetrico dei dischi e cilindri di grosso spessore sottoposti a pressione sulla superficie interna ed esterna. In assenza di effetti termici e di forze di volume (ad esempio quella dovuta alle forze radiali dovute alla rotazione) la teoria consente di scrivere le seguenti relazioni per gli sforzi secondo le direzioni principali radiale e circonferenziale:

Il terzo sforzo principale, assiale, risulta invece nullo se si ipotizza che non siano applicati carichi in tale direzione.
Le costanti A e B, si ricavano rispettivamente per l’albero e per il mozzo imponendo le condizioni al contorno.
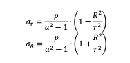
Per il mozzo, si deve imporre che lo sforzo radiale sul diametro interno sia uguale alla pressione e sul diametro esterno sia nullo:

Avendo indicato con D il diametro esterno. Sostituendo, si ricava:

Avendo indicato con R la metà del diametro D e con a il rapporto tra i diametri esterno ed interno:
a = D / d
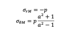
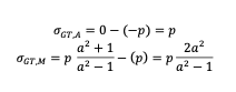
Sulla superficie interna, i due sforzi assumono i seguenti valori, aggiungendo il pedice M, per indicare che si riferiscono al mozzo:

Per l’albero, si deve imporre che lo sforzo radiale sulla superficie esterna (diametro d) è uguale alla pressione. Si deve inoltre considerare che in corrispondenza dell’asse (r=0) non è ipotizzabile la presenza di sforzi radiale e circonferenziale tra loro diversi e da ciò deriva che la costante B deve essere nulla, anche perché se non lo fosse il campo di sforzi sarebbe singolare sull’asse.
Da ciò si conclude che il campo di sforzi è uniforme in ogni punto dell’albero ed è costituito da una croce doppia di compressione di valore pari a -p.
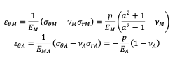
Applicando la legge di Hooke, si può calcolare la deformazione circonferenziale rispettivamente per mozzo e albero, in corrispondenza del diametro di accoppiamento d. Indicando con E il modulo elastico (di Young), con n il coefficiente di Poisson e ipotizzando che essi possano essere diversi per i materiali di mozzo e albero si ha:

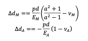
Moltiplicando le deformazioni per il diametro di calcolano le variazioni dello stesso per i due elementi:

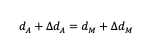
Per calcolare l’interferenza, imponiamo che a calettamento avvenuto i diametri dei due elementi risultino uguali tra di loro:

Dalla quale, tenuto conto che l’interferenza è data dalla differenza tra i diametri iniziali, si ricava:

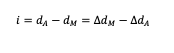
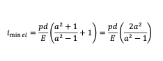
Nell’ipotesi che l’albero e il mozzo siano costituiti di materiali aventi gli stessi moduli di Young e Poisson (ad esempio entrambi in acciaio) si può infine scrivere la seguente relazione che ci fornisce il valore minimo dell’interferenza elastica necessaria a trasmettere la coppia desiderata. L’attributo “elastica” viene aggiunto per indicare che l’interferenza così calcolata è al netto dell’effetto della rugosità, la cui influenza verrà de scritta nel seguito.

Effetto della rugosità
Non tutta l’interferenza geometrica risulta efficace ai fini della trasmissione della coppia perché, all’atto del forzamento le asperità superficiali della rugosità vengono ricalcate plasticamente. La rugosità di una superficie è un’entità complessa e può pertanto essere descritta mediante numerosi parametri ed è necessario identificare quale, tra quelli definiti dalle norme, sia il più indicato a quantificare l’effetto in questione. Alla luce della letteratura, l’interferenza utile all’accoppiamento può essere calcolata ritenendo che sia inefficace uno strato superficiale di altezza pari al parametro Rp, il quale rappresenta l’altezza di picco rispetto alla linea media e si può pertanto immaginare, intuitivamente, che il forzamento determini la ricalcatura plastica dei picchi di rugosità, che pertanto non partecipano al comportamento elastico dei due solidi a contatto. Per questo motivo, sarà necessario scegliere un accoppiamento unificato, che rispetti la seguente condizione:

L’accoppiamento selezionato, per effetto delle tolleranze sui diametri, sarà caratterizzato anche da un campo di variabilità dell’interferenza, per il quale sarà necessario verificare il valore massimo rispetto alla resistenza dei due componenti. Se infatti la condizione di interferenza minima rappresenta il “worst case” per la trasmissione della coppia, è del tutto evidente che invece l’interferenza massima costituisce il worst case per la resistenza, in quanto ad essa corrisponde il valore massimo della pressione di contatto e conseguentemente degli sforzi che sollecitano i due elementi.

Verifica di resistenza
Per la verifica di resistenza di elementi assialsimmetrici sottoposti a pressione, ipotizzando dio considerare materiali di caratteristica duttile, si è soliti utilizzare il criterio di Guest-Tresca, con il quale si possono calcolare gli sforzi di confronto come differenza tra lo sforzo principale massimo e minimo, rispettivamente per l’albero e per il mozzo:

Si osserva che lo sforzo di confronto è maggiore per il mozzo e, salvo il caso di albero in materiale con caratteristiche meccaniche minori rispetto al mozzo o quello di albero cavo, la verifica più restrittiva è pertanto quella del mozzo.
Si può pertanto scrivere che:

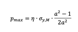
Avendo indicato con σy,M il carico unitario di snervamento del materiale del mozzo. Sostituendo l’espressione dello sforzo di confronto, si può ottenere il limite superiore per la pressione massima:

Tenendo conto della linearità del legame tra pressione ed interferenza è immediato il calcolo del valore massimo dell’interferenza elastica:

Tenendo infine conto dell’effetto della rugosità, si può calcolare il limite superiore da rispettare per l’interferenza nella scelta dell’accoppiamento normalizzato:


Montaggio
In caso di montaggio a caldo, è necessario calcolare la differenza di temperatura da imporre tra albero e mozzo: ipotizzando di scaldare quest’ultimo, ed indicando con a il coefficiente di dilatazione termica lineare del materiale è immediata la scrittura del legame tra variazione di diametro e temperatura:

Tenuto conto che la variazione di diametro è uguale all’interferenza e prevedendo un margine adeguato si scrive:

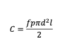
Nel caso di forzamento meccanico alla pressa, la forza assiale necessaria è data invece dalla seguente espressione:
F = pfπdl
In questo caso, la conoscenza della forza esercitata al montaggio è anche indicativa della capacità dell’accoppiamento di trasmettere la coppia desiderata. La figura 3 mostra l’andamento della forza assiale nel calettamento e nello scalettamento.
Per una trattazione organica dell’argomento si veda il “Manuale degli Organi delle Macchine”